РЕГИСТРАЦИЯ И АНАЛИЗ ЭЭГ ДАННЫХ ДЛЯ ВЫЯВЛЕНИЯ МАРКЕРОВ НАРУШЕНИЙ ВНИМАНИЯ, ИСПОЛНИТЕЛЬНОГО КОНТРОЛЯ И РАСПОЗНАВАНИЯ РЕЧИ
РЕГИСТРАЦИЯ И АНАЛИЗ ЭЭГ ДАННЫХ ДЛЯ ВЫЯВЛЕНИЯ МАРКЕРОВ НАРУШЕНИЙ ВНИМАНИЯ, ИСПОЛНИТЕЛЬНОГО КОНТРОЛЯ И РАСПОЗНАВАНИЯ РЕЧИ
Программный модуль “Brain_Test”
Конвейер состоит из четырех основных этапов: (1) регистрация нейрофизиологических данных (ЭЭГ эксперимент); (2) предобработка исходных ЭЭГ сигналов и поведенческих протоколов; (3) удаление немозгового шума из ЭЭГ записей, и (4) вычисление амплитуды и латентности вызванных потенциалов (ERPs).
- Регистрация исходных данных подразумевает применение одной из нижеописанных программ, которые реализуют один из сценариев эксперимента. Во всех сценариях обследуемый находится перед экраном монитора, готовый нажимать на заранее выбранные кнопки клавиатуры. Обследуемому демонстрируется последовательность стимулов (зрительных или звуковых), на которые необходимо реагировать заранее обговоренным образом. Для разных вариантов обследования набор стимулов, заданий и реакций может различаться. Во время выполнения задания записывается электроэнцефалограмма (ЭЭГ) обследуемого с расстановкой на ней меток событий (т.е. моментов предъявления стимулов, реакции обследуемого, получение им обратной связи). В результате обработки ЭЭГ получаются карты головного мозга (нейроимиджи), отражающие функциональное состояние участника обследования при выполнении экспериментальных заданий. Кроме того, создаётся отдельный файл, содержащий поведенческий протокол, на основании которого можно оценивать скорость и точность выполнения различных заданий. Совместный анализ мозговых карт и поведенческих протоколов позволяет выявить маркеры патологических отклонений, указывающих на наличие у обследуемого нарушений мозговых функций.
- Задачей предобработки является техническая подготовка набора нейрофизиологических и поведенческих данных к последующему анализу. Предобработка исходных данных включает конвертацию файлов ЭЭГ записей из формата регистрирующей программы в формат MatLab, внесение в ЭЭГ файл данных о координатах электродов на поверхности головы, выполнение частотной фильтрации, интерполяции нарушенных электродов, процедуру ре-референса, экстракцию из исходной ЭЭГ целевых фрагментов (испытаний) и удаление заведомо неподходящих испытаний из анализируемой выборки.
- Исходные записи ЭЭГ обычно содержат смесь мозговых сигналов (релевантные сигналы) и внемозговых сигналов (электрический шум от приборов, статические наводки от одежды, электрические реакции лицевых мышц и кровеносных сосудов). Для оценки функционального состояния головного мозга необходимо удалить внемозговые сигналы (артефакты) из записи мозговых сигналов, при этом не повредив мозговой сигнал. Анализ независимых компонент (Independent components analysis) – это метод компьютерной обработки сигналов, позволяющий разделить исходную запись на комбинацию линейно независимых друг от друга процессов и, таким образом, отделить релевантные сигналы от нерелевантных.
- Вычисление различных метрик вызванных потенциалов (ERPs), для выбранных каналов, таких как амплитуда и латентности пиков, построение на основе выполненных вычислений графиков и карт, отражающих функциональное состояния мозга, сохранение и статистическая обработка результатов.
Описание входных данных
На вход конвейеру может быть подана одна из программ для проведения ЭЭГ эксперимента, итогом работы которой является ЭЭГ испытуемого и поведенческий протокол во время выполнения задания, метки событий и данные о расположении каналов. Примеры экспериментальных сценариев: (1) регистрация фоновой ЭЭГ; (2) полифонический Odd_ball; (3) монофонический Odd_ball; (4) парадигма стоп-сигнал (взрослая версия); (5) парадигма стоп-сигнал (версия для детей); (6) задача Струпа; (7) лексическое задание
Также в качестве входных данных могут выступать готовые файлы: ЭЭГ испытуемого, поведенческий протокол во время выполнения задания, метки событий и данные о расположении каналов.
Описание выходных данных
Регистрация ЭЭГ
● *.eeg – ЭЭГ данные испытуемого
● *.vhdr - имена и расположение каналов
● *.vmrk - метки событий
Предобработка данных
● *.set – объединенный файл с ЭЭГ, данными о каналах и метками событий для загрузки Matlab
● Фильтрация по частотам от 1 до 40 Гц, чтобы убрать артефакты движений и шум электрической сети
● Фильтрация повреждённых каналов, их интерполяция с помощью потенциалов с соседних каналов
● Расчет средневзвешенного референта, его вычитание из значений потенциалов для всех ЭЭГ каналов
● Экстракция событий и временных интервалов, удаление плохих испытаний
● Оценка точности и скорости выполнения заданий на основе обработки поведенческого протокола
Удаление немозгового шума из ЭЭГ записей
● Проведение анализа независимых компонент (ICA)
● Фильтрация полученных компонент (удаление кардиограммы, движений глаз, моргания, мышечного шума)
Расчет метрик вызванных потенциалов (амплитуда и латентность)
● *.set – итоговый файл с данными ЭЭГ после предобработки и фильтрации
● расчет метрик вызванных потенциалов (ERPs) для выбранных каналов и построение графиков
● определение интервалов интереса для каждого локального пика ERP и построение функциональных карт головного мозга
● *.png – графики разности потенциалов для одного канала для конкретного промежутка времени
Регистрация ЭЭГ. На этом этапе с помощью одной из программ для проведения эксперимента записываются ЭЭГ данные испытуемого во время выполнения задания. Ниже приведены описания рассматриваемых программ:
- Регистрация фоновой ЭЭГ
Обследуемый находится в свето- и звукоизолированной комнате. Вначале он 2 минуты сидит с закрытыми глазами, затем происходит звуковая команда - откройте глаза. После команды обследуемый 2 минуты сидит с открытыми глазами.
Последовательность двухминутных интервалов повторяется 3 раза, т.е. суммарно сессия длится 12 минут, по 3 интервала с открытыми и закрытыми глазами. В течении этих 12 минут происходит запись ЭЭГ испытуемого для формирования “фона” для сравнения с ним результатов выполнения последующих заданий.
- Полифонический Odd_ball (вариант задачи go/no_go)
Участник обследования сидит с закрытыми глазами, перед ним расположена клавиатура. Обследуемому предъявляется 250 слуховых стимулов, из которых
● 50 целевых (крик “мяу”)
● 200 нецелевых (крик “ква”)
Стимулы идут в случайном порядке, интервал между соседними стимулами - 1.5 сек.
Задача испытуемого - нажимать пробел на целевой звук и игнорировать нецелевой. Регистрируется ЭЭГ испытуемого, правильность и время нажатия клавиши пробел. Вычисляются следующие поведенческие метрики: количество неправильных нажатий после нецелевого стимула, количество пропущенных нажатий после целевого стимула, среднее время для правильных нажатий после целевого стимула, среднеквадратичное отклонение для времени правильных нажатий.
- Монофонический Odd_ball
Условия эксперимента аналогичны полифоническому Odd_ball. Отличия:
● Целевой стимул - монотонный звук с частотой 1 КГц
● Нецелевой стимул – монотонный звук с частотой 0.5 КГц
● Громкость звука - 32 Дб
В этом тесте вычисляются те же метрики, что и для полифонического теста.
- Парадигма стоп-сигнал, взрослая версия
Испытуемый находится перед экраном монитора с открытыми глазами и клавиатурой, расположенной перед ним. Ему предъявляется 134 изображения, половина из которых – изображение оленя, вторая половина – изображение танка.
Задача обследуемого - как можно быстрее нажать кнопку “K”, если он видит изображение оленя и кнопку “D”, если он видит изображение танка (что соответствует выбору оружия для стрельбы по мишени: арбалет для оленя и противотанковое ружьё для танка). На принятие решения выделяется не более 750 мс. При нажатии кнопки быстро и правильно счёт увеличивается, если участник давит на кнопку после 750 мс или выбирает неверное оружие, то его игровой счёт снижается.
В 35 случаях из 134 после появления целевого сигнала в середине изображения появляется стоп-сигнал. В этом случае обследуемый должен остановить уже начатое нажатие. Если обследуемый успевает остановить нажатие, игровой счет не меняется, если он давит на кнопку после стоп-сигнала, то его игровой счёт снижается. Интервал между нажатием и появлением нового стимула случайно варьируется от 3 до 7 секунд.
Паузы между целевым сигналом и стоп-сигналом такие:
● Первые 30 испытаний – участнику предъявляются только целевые стимулы без стоп-сигнала, а программа вычисляет среднее время реакции.
● Затем для 25% стоп-сигналов – временная задержка между целевым и запрещающим стимулами составляет 10% от среднего времени реакции
● Для 25% стоп-сигналов задержка составляет 30% от среднего времени реакции
● Для 25% стоп-сигналов - 50% от среднего времени реакции
● Для 25% стоп-сигналов - 100% от среднего времени реакции.
Порядок стоп-сигналов с разными паузами рандомизирован.
Для каждого обследуемого вычисляется следующий набор поведенческих метрик: процент пропущенных нажатий после целевого стимула, процент неверно выбранных кнопок после целевого стимула, процент верных нажатий после целевого стимула, процент неверных нажатий после стоп-сигнала, среднее время верных нажатий после целевого стимула, среднеквадратичное отклонение для времени верных нажатий.
- Парадигма стоп-сигнал, версия для детей:
В основном, условия эксперимента аналогичны условиям эксперимента Парадигма стоп-сигнал (взрослая версия). Отличия:
● Изображение оленя заменено на изображение зайца
● Изображение танка заменено на изображение тигра
● Задача – нажимать кнопку “K”, если испытуемый видит изображение зайца, и кнопку “D”, если видит изображение тигра, что соответствует кормлению животного морковью (для зайца) или мясом (для тигра).
Поведенческие метрики такие же, как для взрослой версии.
- Задача Струпа
Испытуемый находится перед экраном монитора, готовый нажимать клавиши “K” и “D” на клавиатуре. На экране в случайном порядке предъявляются 50 пар изображений животных.
В реальной природе одно животное из пары всегда больше другого (например, показывают изображение слона и зайца). На экране компьютера в 50% случаев выдержаны пропорции в размере картинок с реальными животными (например, слон > заяц как в природе, так и на экране). В других 50% случаев, наоборот, картинка с маленьким животным намного больше, чем картинка с большим животным (заяц > слон на экране, что неверно в природе).
Задача испытуемого - нажимать кнопку “D”, если большое животное слева “K” - если справа. При этом испытуемый должен выбирать изображение животного, которое больше в реальной жизни, игнорируя размеры картинок на экране. Например, в паре слон - заяц он всегда должен выбирать изображение слона вне зависимости от размеров картинок на экране.
Время на принятие решения в этом случае не ограничивается.
Регистрируется ЭЭГ испытуемого во время выполнения задания, а также правильность нажатия клавиши, среднее время реакции на конгруэнтные и не-конгруэнтные задания.
- Лексическое задание
Обследуемый находится перед экраном монитора с открытыми глазами, готовый нажимать кнопки “1” и “2” на клавиатуре. Испытуемому предъявляется 140 предложений, половина из которых содержит грамматическую ошибку, а другая половина грамматически правильная.
Задача испытуемого – нажимать на кнопку “1”, если предложение правильное, и на кнопку “2”, если предложение содержит грамматическую ошибку.
Эксперимент содержит скрытое условие, о котором участникам не сообщается. Половина предложений (как правильных, так и не правильных) оценивает самого участника, а другая половина – какого-то постороннего для участника человека. Причем, оценочные суждения в равной пропорции относятся к трём эмоциональным категориям – (1) эмоционально нейтральные оценки, (2) эмоциональной позитивные оценки, (3) эмоционально негативные оценки. При обработке результатов учитывается не только общий показатель скорости и качества ответов, но и его зависимость от референции (к себе или к другому) и эмоциональности оценки (нейтральная, позитивная или негативная).
Предобработка данных
Предобработка данных, как и все последующие шаги, проводится в EEGLAB – интерактивной среде для MATLAB для работы с ЭЭГ и МЭГ.
Полученные на предыдущем шаге данные ЭЭГ, имена и пространственное расположение электродов, а также метки событий загружаются в программу EEGLAB. Эти файлы объединяются и сохраняются в виде единого файла *.set, с которым дальнейшем и будет вестись работа.
Открываем сохраненный файл и проводим фильтрацию частот и каналов. В рассмотрение берутся только частоты от 1 до 40 Гц, т.к. частоты ниже – это артефакты движений, частоты выше – наводки от электрической сети. Удаляем из рассмотрения поврежденные каналы, т.е. сильно отличающиеся по амплитуде (Причиной появления таких каналов может быть открепление электрода во время записи ЭЭГ или повреждение поверхности электрода). Потенциалы отсутствующих каналов вычисляем при помощи интерполяции потенциалов соседних каналов.
Для вычисления разности потенциалов рассчитываем средневзвешенный референт и далее заменяем потенциал каждого электрода на разность потенциалов со средневзвешенным референтом.
Проводим экстракцию событий и временных интервалов, т.е. для каждого испытания (интервал времени, в который активность мозга обследуемого обусловлена конкретным стимулом) выбираем небольшой интересующий нас отрезок времени (например, от 0.5 сек до 1.5 сек) и удаляем испытания со слишком большими значениями разности потенциалов на этом отрезке.
Удаление немозгового шума из ЭЭГ записей
Шаг удаление немозгового шума из ЭЭГ записей состоит в применении ICA дальнейшем анализе его результатов. Удаляются компоненты, отвечающие за сердцебиение, движение глаз, моргание, мышечный шум и т.д. В итоге остаются только компоненты, отвечающие за мозговую активность, индуцированную выполнением конкретного задания.
Вычисление амплитуды и латентности вызванных потенциалов
В программе EEGlab выбирается один из ЭЭГ-каналов, релевантный мозговым функциям, для оценки которых проводится тестирование. Например, для оценки зрительных функций выбирается канал Oz (зрительная кора), моторных функций – С3 или С4 (двигательная кора), функций внимания – каналы Fz и Pz, речевых функций – канал F7 (область Брока). Для разных заданий в качестве релевантных выбираются разные каналы. Для одного релевантного канала строится амплитудно-временной график ERP. На этом графике исследователь отмечает временные интервалы, соответствующие локальным пика ERP. Затем, с помощью программы ERPlab_toolbox для каждого канала записи вычисляются метрики пиков в указанных временных интервалах. В качестве метрик могут быть приняты: (1) средняя амплитуда по временному окну; (2) максимальная амплитуда по окну (3) минимальная амплитуда по окну (4) временная латентность пика. Каждая из выбранных характеристик вычисляется для каждого ЭЭГ каналах по отдельности, затем каналы группируются по областям коры в соответствии с задачами исследования. После чего, все характеристики усредняются по группам электродов.
Параметры запуска
Отсутствуют, конвейер начинается либо с ЭЭГ эксперимента, либо с непосредственной подачи данных ЭЭГ, меток событий и информации о каналах в программу EEGLAB.
Перечень ПО и баз данных, необходимых для работы
MATLAB – версия ?
EEGLAB – версия ?
ERPlab - версия ?
SPSS - версия ?
Inquisit – версия ?
Примеры ЭЭГ данных для каждой из программ можно найти по следующей ссылке:
https://disk.yandex.ru/d/jUN-u-r4Hp3DVg
Типовые сценарии конвейерной обработки
Демонстрационные примеры решения содержательных задач
Включается программа NeoRec для регистрации сигнала электроэнцефалографа, запускается программа Fon1.iqx для записи ЭЭГ человека в состоянии покоя.
Далее, параллельно с NeoRec, с помощью InquisitLab запускается одна из программ, реализующих задание, во время выполнения которого регистрируется ЭЭГ:
Mau.iqx – полифонический Odd_ball
Tone.iqx – монофонический Odd_ball
Hunt.iqx – парадигма стоп-сигнал, взрослая версия



Zoo.iqx – парадигма стоп-сигнал, версия для детей

Stroops.iqx – задача Струпа


Rus.iqx – лексическое задание


Получаем набор файлов, которые в дальнейшем предобрабатываются и анализируются в программе EEGLAB:
ЭЭГ данные, метки событий и информация о каналах загружается из файла с расширением .vhdr.

Данные загружены и готовы к предобрабоке.

Фильтрация потенциалов по частотам ниже 1 Гц и выше 40 Гц.

Экстракция событий и временных интервалов для исключения неподходящий испытаний.


Запуск анализа независимых компонент.

Полученные компоненты, из которых требуется удалить мозговую активность не связанную с выполнением задания.

Запуск расчета вызванных потенциалов.

Визуализация изменения потенциалов конкретного электрода по времени для двух событий

Визуализация распределения потенциалов по коже головы для интервала времени 350-400 мс.

Примеры результатов и их интерпретации

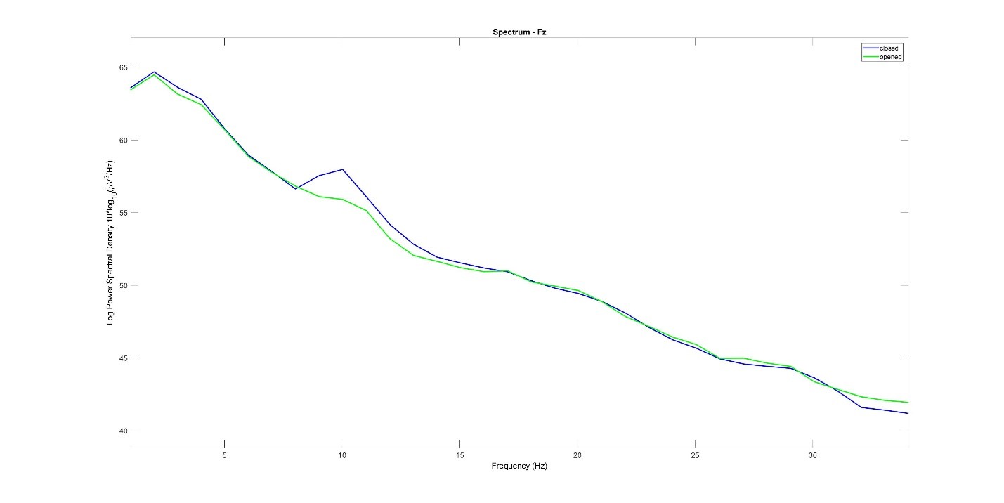
Рисунок 1. Спектральная мощность в лобных отделах коры при закрытых (синий цвет) и открытых (зеленый цвет) глазах. При закрытых глазах выражен пик альфа-ритма.

Рисунок 2. Спектральная мощность в теменных отделах коры при закрытых (синий цвет) и открытых (зеленый цвет) глазах. При закрытых глазах хорошо выражен пик альфа-ритма и виден слабо выраженный пик бета3-ритма.

Рисунок 3. Амплитудной временной график ERP в медиальной теменной коре в ответ на целевой (красный график) и не-целевой (синий график) стимулы. Во временной окне 350-450 мс хорошо виден пик Р300 на целевой стимул, который отсутствует на не-целевой стимул.

Рисунок 4. Корковое топографическое распределение пост-моторного пика в активационном условии стоп-сигнал. Соответствует норме.

Рисунок 5. Распределение спектральной плотности альфа-ритма в диапазоне 8-12 Гц при закрытых (левая панель) и открытых (правая панель) глазах. Распределение соответствует значениям возрастной нормы.

Рисунок 6. Распределение спектральной плотности бета-ритма в диапазоне 20-25 Гц при закрытых (левая панель) и открытых (правая панель) глазах. При закрытых и открытых глазах наблюдаются повышенные значения мощности бета-ритма в лобных отделах коры. При отрытых глазах в задних отделах коры мощность бета-ритма выше нормы.

Рисунок 7. Амплитудной временной график ERP в медиальной теменной коре в ответ на целевой (красный график) и не-целевой (синий график) стимулы для полифонического теста odd-ball. Во временных окнах 200-400 мс 500-800 мс хорошо видны положительные пики на целевой сигнал, которые отсутствуют на не-целевой стимул.

Рисунок 8. Амплитудно-временной график ERP в активационном условии стоп-сигнал в правой моторной коре (электрод С4). Соответствует норме.

Рисунок 9. Топография позитивного пика (330-380 мс) в лобной коре в ответ на не-целевой (слева) и целевой (справа) стимулы для полифонического теста odd-ball. Соответствует значениям нормы.

Рисунок 10. Топография позитивного пика в позднем временном окне при решении языков заданий. Наблюдается нетипичный сдвиг амплитуды в левую моторную кору.